
https://www.acmicpc.net/problem/1712
문제 전문은 링크 참조
문제가공
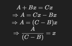
- A = 고정 비용
- B = 노트북 1대당 생산비용
- C = 노트북 판매가격
- x= 노트북 생산 수량
- 아래 공식으로 몇대를 팔아야 본전이 나오는지 확인할 수 있다.

코드작성
공식을 코드화 하자
손익분기점은 수익이 생기는 시점이기 때문에 본전+1대를 더 팔면 손익분기점.
A,B,C = map(int, input().split())
print ( A // (C-B) + 1 if B<C else -1) 'Python > 백준 (BOJ)' 카테고리의 다른 글
| [BOJ][B2]추론 - 1731 (0) | 2025.08.11 |
|---|---|
| [BOJ][B2]암호- 1718 (0) | 2025.08.10 |
| [BOJ][B2]줄 세우기 - 1681 (1) | 2025.08.08 |
| [BOJ][B2]치킨 쿠폰 - 1673 (1) | 2025.08.07 |
| [BOJ][B2]트로피 진열 - 1668 (1) | 2025.08.06 |